Результаты поиска по сайту: «работа» — найдено 50302 записей
Google собирается превратить человеческий глаз в курсор
Google собирается превратить человеческий глаз в курсор ...

Google выкупила стартап Eyefluence, который пытается научить компьютер распознавать движения зрачков пользователя и реагировать на них. Достижения стартапа будут использованы для разработки технологий виртуальной реальности.

Apple Watch придется заряжать ежедневно
Apple Watch придется заряжать ежедневно ...

В ходе сентябрьского мероприятия в Купертино, представляя «умные» часы Watch, компания Apple уделила немало времени перечислению их особенностей и функций, но упустила одну важную деталь — не указала продолжительность автономной работы устройства от одной зарядки. Это породило волну слухов о том, что с данной позицией у Apple Watch не все благополучно.

Рассекречены характеристики Samsung Galaxy S8
Рассекречены характеристики Samsung Galaxy S8 ...

Довольно хорошо известный по организации утечек пользователь @kjuma в Weibo, китайском аналоге Twitter, опубликовал подробный список характеристики, якобы принадлежащий будущему флагманскому смартфону Samsung Galaxy S8.

Microsoft запустит программу по найму аутистов
Microsoft запустит программу по найму аутистов ...

Microsoft в мае запустит программу по созданию рабочих мест для аутистов. Об этом сообщила в официальном блоге компании вице-президент корпоративного отделения Мари Эллен Смит (Mary Ellen Smith.)

Huawei обещает сделать «шаг вперед» 3 ноября 2016
Huawei обещает сделать «шаг вперед» 3 ноября 2016 ...

Еще в конце сентября появилась первая информация о том, что 3 ноября 2016 компания Huawei представит смартфон Huawei Mate 9, в котором будет применена новая однокристальная система Kirin 960.

Microsoft Surface Book проработает 4 часа без клавиатуры
Microsoft Surface Book проработает 4 часа без клавиатуры ...

В ходе демонстрации Surface Book компания Microsoft заявила, что устройство сможет проработать 12 часов от одного заряда батареи, но только в том случае, если оно используется в качестве ноутбука, то есть с соединёнными дисплеем и клавиатурой.

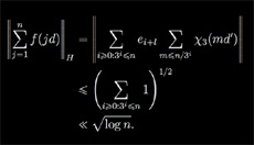
Комментарий в интернете помог доказать гипотезу Эрдеша о расходимости
Комментарий в интернете помог доказать гипотезу Эрдеша о расходимости ...

Лауреат Филдсовской премии Теренс Тао заявил о доказательстве так называемой гипотезы Эрдеша о расходимости (The Erdős discrepancy problem). Статья Тао появилась на arXiv.org.

Google помогла Apple исправить проблему iPhone 7
Google помогла Apple исправить проблему iPhone 7 ...

Компания Apple, должно быть, не очень любит умные часы на Android Wear. У них есть свои Apple Watch. В то же время Google любит клиентов Apple и хочет, чтобы их часы под управлением Android Wear работали в паре с iPhone. По какой-то причине это было невозможно в случае с iPhone 7 и iPhone 7 Plus, но Google приложила все усилия для того, чтобы Apple устранила проблему.

Жидкостное охлаждение внутри микросхем: ещё один эксперимент
Жидкостное охлаждение внутри микросхем: ещё один эксперимент ...

Каким бы хорошим не был термоинтерфейс на поверхности процессора, он всё равно ухудшает теплообмен между кристаллом и радиатором. Как ни крути — это ещё одно промежуточное звено со своим тепловым сопротивлением.

Почему презентация Apple 27 октября – ключевая для компании
Почему презентация Apple 27 октября – ключевая для компании ...

Без права на ошибку.