Физик вывел формулу падающего смартфона
Физик Роберт Мэтьюс из Астонского университета в Бирмингеме (Англия) получил формулу, определяющую угловую скорость вращения смартфона, выпадающего из рук владельца. Об исследовании британского ученого пишет издание Daily Mail.
В модели выскользающий телефон начинает вращение вокруг одного из пальцев руки. При этом центр тяжести аппарата первоначально расположен ниже оси вращения. Это приводит к появлению под действием силы тяжести крутящего момента, в результате чего телефон начинает свое движение и выскальзывает из рук.
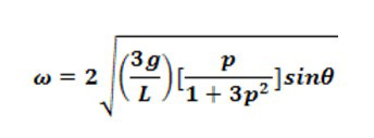
Смартфон в модели представляет собой прямоугольный параллелепипед, а его ось вращения расположена параллельно малой стороне. В формуле для угловой скорости движения телефона участвуют четыре параметра: длина смартфона L, ускорение свободного падения g, начальный угол вращения θ и расстояние δ (между центром тяжести аппарата и осью вращения).

В приведенном соотношении p = 2δ / L. По словам Мэтьюса, его формула может объяснить, почему смартфон падает экраном вниз. При этом ученый посоветовал не экспериментировать с телефонами, поскольку это может привести к их поломке.

Зная высоту падения смартфона, при помощи формулы можно оценить сторону, которой упадет на землю устройство. Исследователь сообщил, что вероятность разбить экран смартфона понижается, если держать его в руках в районе центра тяжести. Тогда телефон при падении не придет во вращение (не перевернется экраном вниз) и не разобьется.
Для современных смартфонов такой способ фиксации в руке затруднен, поскольку при наборе текста устройство держат, как правило, за нижнее основание, расположенное ниже центра тяжести аппарата. Изменить ситуацию можно, использовав специальные материалы при производстве смартфонов и перегруппировав составляющие их элементы.
Исследование ученого поддержала компания Motorola, которая занимается разработками телефонов с небьющимся экраном. По ее данным, около 29 процентов владельцев смартфонов имеют телефоны с трещинами на экранах.
Ранее исследователь Мэтьюс обосновал то, почему бутерброд с маслом падает намазанной стороной вниз. По его мнению, это объясняется не только законом Мерфи (если что-то должно пойти не так, это обязательно так и пойдет), но и физикой.